Ce sujet a été résolu
Je t'ai trouvé un matheux :
https://onche.org/topic/6[...]tout-ton-argent-au-casino
Il pourra sûrement t'aider
Il pourra sûrement t'aider
🛌
il y a 2 ans
Lit
2 ans
Je t'ai trouvé un matheux :
https://onche.org/topic/6[...]tout-ton-argent-au-casino
Il pourra sûrement t'aider
Il pourra sûrement t'aider
il y a 2 ans
ça me parait pas mal, t'as trouvé la formule avec un résultat de théorie des graphes ? j'en ai jamais fait..
il y a 2 ans
Je dois dire que la question est interessante, je vais m'y pencher aussi.
Mon propos est imaginaire et fictif, il n'implique donc aucun fait ou élément réel et toute ressemblance serait fortuite
il y a 2 ans
@Sainte @PatrickSebasti1 J'arrive pas à faire les 6 dialogues avec 6 PNJs, c'est juste moi qui ai pas trouvé la solution optimale ?
A,B,C -> A,B
A,B,D -> A,B
A,B,E -> A,B
A,B,F -> A,B
A,C,D -> A,C
A,C,E -> A,C
A,C,F -> A,C
A,D,E -> A,D
A,D,F -> A,D
A,E,F -> E,F
B,C,D -> B,C
B,C,E -> B,C
B,C,F -> B,C
B,D,E -> D,E
B,D,F -> D,F
B,E,F -> E,F
C,D,E -> D,E
C,D,F -> D,F
C,E,F -> E,F
D,E,F -> E,F
A,B + A,C + A,D + E,F + B,C + D,E + D,F = 7 dialogues
A,B,C -> A,B
A,B,D -> A,B
A,B,E -> A,B
A,B,F -> A,B
A,C,D -> A,C
A,C,E -> A,C
A,C,F -> A,C
A,D,E -> A,D
A,D,F -> A,D
A,E,F -> E,F
B,C,D -> B,C
B,C,E -> B,C
B,C,F -> B,C
B,D,E -> D,E
B,D,F -> D,F
B,E,F -> E,F
C,D,E -> D,E
C,D,F -> D,F
C,E,F -> E,F
D,E,F -> E,F
A,B + A,C + A,D + E,F + B,C + D,E + D,F = 7 dialogues
il y a 2 ans
Pepe
2 ans
@Sainte @PatrickSebasti1 J'arrive pas à faire les 6 dialogues avec 6 PNJs, c'est juste moi qui ai pas trouvé la solution optimale ?
A,B,C -> A,B
A,B,D -> A,B
A,B,E -> A,B
A,B,F -> A,B
A,C,D -> A,C
A,C,E -> A,C
A,C,F -> A,C
A,D,E -> A,D
A,D,F -> A,D
A,E,F -> E,F
B,C,D -> B,C
B,C,E -> B,C
B,C,F -> B,C
B,D,E -> D,E
B,D,F -> D,F
B,E,F -> E,F
C,D,E -> D,E
C,D,F -> D,F
C,E,F -> E,F
D,E,F -> E,F
A,B + A,C + A,D + E,F + B,C + D,E + D,F = 7 dialogues
A,B,C -> A,B
A,B,D -> A,B
A,B,E -> A,B
A,B,F -> A,B
A,C,D -> A,C
A,C,E -> A,C
A,C,F -> A,C
A,D,E -> A,D
A,D,F -> A,D
A,E,F -> E,F
B,C,D -> B,C
B,C,E -> B,C
B,C,F -> B,C
B,D,E -> D,E
B,D,F -> D,F
B,E,F -> E,F
C,D,E -> D,E
C,D,F -> D,F
C,E,F -> E,F
D,E,F -> E,F
A,B + A,C + A,D + E,F + B,C + D,E + D,F = 7 dialogues
AB CE DE CD AF BF ça marche en 6
il y a 2 ans
Pourquoi il faut décomposer le graphe en DEUX sous-graphes ? Je crois pas que ça ai un rapport avec les dialogues vu que c'est représenté par un segment
C'est justement ça la question ? Est-ce que deux sous-graphes c'est optimal ?
C'est justement ça la question ? Est-ce que deux sous-graphes c'est optimal ?
il y a 2 ans
D'accord, c'est logique
"tout triplet de sommets rencontrera une arête" ça correspond à "toute équipe aura un dialogue entre deux PNJ"
"tout triplet de sommets rencontrera une arête" ça correspond à "toute équipe aura un dialogue entre deux PNJ"
il y a 2 ans
À noté que j'ai pas un bon niveau en math, surement juste un peu plus haut que le lycée alors la suite c'est juste moi qui m'amuse un peu
Juste pour moi pour mieux visualiser, pour 9 PNJs les deux sous-graphes les plus similaires (ils ne peuvent pas être isomorphiques car il y a un nombre impaire de PNJ):

On peut savoir le nombre de dialogue total dans les deux sous-groupes à partir du nombre de PNJ dans un groupe,
Si x est le nombre de PNJ dans un groupe et N est le nombre de PNJ total, l'autre groupe aura (sans déconner) N-x PNJ.
On peut faire une fonction qui représente le nombre de dialogues totals dans le cas ou il y deux groupes connexes, selon x pour un N spécifique. (le cas isomorphique est quand x = N/2)
https://www.desmos.com/calculator/nlxaonygog
J'ai simplifié la formule "2 fois le nombre de combinaison de 2 parmi la moitier de N" pour avoir le nombre de dialogues (axe Y) pour tout N (x) quand on utilise deux sous-groupes isomorphiques (ou presque, pour les N impaires), ça nous donne:
f(x) = (x(x-2)) / 4
https://www.desmos.com/calculator/maxnccand8
J'ai pour l'instant pas trouvé de contre-exemple (un seul graphe connexe qui est plus optimal que deux), et j'ai pas du tout le niveau pour prouver que le contre-exemple n'existe pas.
Si tu as de la lecture à recommender sur le sujet ça m'interesse, je ferais au moins un tour sur youtube
Très bon topic nonobstant
Juste pour moi pour mieux visualiser, pour 9 PNJs les deux sous-graphes les plus similaires (ils ne peuvent pas être isomorphiques car il y a un nombre impaire de PNJ):
On peut savoir le nombre de dialogue total dans les deux sous-groupes à partir du nombre de PNJ dans un groupe,
Si x est le nombre de PNJ dans un groupe et N est le nombre de PNJ total, l'autre groupe aura (sans déconner) N-x PNJ.
On peut faire une fonction qui représente le nombre de dialogues totals dans le cas ou il y deux groupes connexes, selon x pour un N spécifique. (le cas isomorphique est quand x = N/2)
J'ai simplifié la formule "2 fois le nombre de combinaison de 2 parmi la moitier de N" pour avoir le nombre de dialogues (axe Y) pour tout N (x) quand on utilise deux sous-groupes isomorphiques (ou presque, pour les N impaires), ça nous donne:
f(x) = (x(x-2)) / 4
J'ai pour l'instant pas trouvé de contre-exemple (un seul graphe connexe qui est plus optimal que deux), et j'ai pas du tout le niveau pour prouver que le contre-exemple n'existe pas.
Si tu as de la lecture à recommender sur le sujet ça m'interesse, je ferais au moins un tour sur youtube
Très bon topic nonobstant
il y a 2 ans
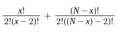
Pour chaque N le nombre de dialogue selon x (nombre de PNJ dans 1 groupe) forme une parabole avec la formule:
Le minimum de la parabole est x = N/2 (tronqué, pour les impaires)
Donc le minimum de dialogues avec deux sous-groupes est quand ces deux sous-groupes sont de taille N/2.
Le minimum de la parabole est x = N/2 (tronqué, pour les impaires)
Donc le minimum de dialogues avec deux sous-groupes est quand ces deux sous-groupes sont de taille N/2.
il y a 2 ans
il y a 2 ans



















