Ce sujet a été résolu
le pipi est stocké dans les boules
il y a 2 mois
Tu as éveillé ma curiosité l’op
C’est décidé je rejoins le projet d’étude dès demain à la prochaine douche
C’est décidé je rejoins le projet d’étude dès demain à la prochaine douche
il y a 2 mois
Je viens d'essayer et l'op a raison, ça ne marche pas
Le jet de pisse arrive maximum jusqu'à mes pec mais pas plus haut
Le jet de pisse arrive maximum jusqu'à mes pec mais pas plus haut
F.R.A.N.C.E.= Fédération des Réfugiés Arabes Nourris par les Caisses de l'État
il y a 2 mois
Turlupinzigotin
2 mois
le pipi est stocké dans les boules
C'est pour ça qu'il faut surement pincer un peu les boursicotes afin de donner plus d'intensité au jet
F.R.A.N.C.E.= Fédération des Réfugiés Arabes Nourris par les Caisses de l'État
il y a 2 mois
Très intéressant l'op j'aime beaucoup vos recherches qui ont sans nul doute pour but de faire avancer l'élite.
Pourrais-je faire don de mon assistance lors de vos prochains test et études sur le sujet ?
Comme par exemple en tenant verge en main ou encore en filmant la scène pour immortalisé qui sait peut être un moment historique de l'humanité.
Pourrais-je faire don de mon assistance lors de vos prochains test et études sur le sujet ?
Comme par exemple en tenant verge en main ou encore en filmant la scène pour immortalisé qui sait peut être un moment historique de l'humanité.
il y a 2 mois
C'est pour ça qu'il faut surement pincer un peu les boursicotes afin de donner plus d'intensité au jet
il faut faire claquer les couilles au cul effectivement
il y a 2 mois
ça veut dire que c'est impossible, ou alors très fortement improbable
en gros je dis qu'il existe un lien entre la taille, la taille de zbob; la puissance du jet pour que le jet de pisse ne puisse pas aller directment du gland à la bouche
je soupsonne les dev de la matrice d'avoir nerfé ce phénomène
en gros je dis qu'il existe un lien entre la taille, la taille de zbob; la puissance du jet pour que le jet de pisse ne puisse pas aller directment du gland à la bouche
je soupsonne les dev de la matrice d'avoir nerfé ce phénomène
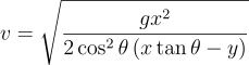
Bon j'y ai réfléchi, il faut qu'un khey vérifie mes calculs, je suis fatigué
On va traiter le jet de pisse comme un projectile lancé à une vitesse v et un angle theta (par rapport à l'horizontal)
Pour une distance horizontale x et une distance verticale y, on a:
x = v*cos(theta)*t
y = v*sin(theta)*t - 1/2*gt^2
où t est le temps depuis le "lancement" du jet de pisse, et g est l'acceleration causée par la gravité (el famoso 9.8 m/s^2)
J'ai demandé à une ia de me chier v depuis x et y (oui j'ai la flemme), ça nous donne
Un schéma de la situation:
On va prendre des nombres qui me semblent plausibles:
x = 25cm
y = 60cm
theta = 75deg
J'ai mis ces chiffres dans la formule, ça nous donne une vitesse de 3.7 m/s quand la pisse sort du gland pour que ça arrive sur le visage
On peut trouver la
La densité p de la pisse est quasi pareil que celle de l'eau (1000 kg/m^3), donc la pression dynamique est
P = 1/2 * pv^2
P = 6845 Pascals (c'est 0.067 la pression atmosphérique)
Maintenant on peut convertir cette pression en force
La formule est F = P * A
où A est l'aire de la section transversale
Il nous faut donc le diamètre de l'urètre (enfin, du trou du gland), j'ai trouvé un
On va supposer que le trou du pipou est circulaire, donc l'aire est
A = pi * d^2 / 4
A = 3.848 * 10^-5 m^2
et donc la force de la pisse au bout du gland est F = 0.263 N, intéressant
On peut répondre à la question, est-ce que c'est POSSIBLE de se pisser sur le visage en étant debout ?
Avec l'aire du trou qu'on a déja calculé:
Débit Q en m^3/s = entre 1 * 10^-5 et 2.1 * 10^-5 m^3/s
v = Q/A, donc la vitesse normale de la pisse au bout du gland est entre 0.26 m/s et 0.55 m/s
C'est pour ça que c'est si dur, il nous faut une vitesse autour de 3.7 m/s mais en temps normal on a seulement autour de 0.4 m/s
On va traiter le jet de pisse comme un projectile lancé à une vitesse v et un angle theta (par rapport à l'horizontal)
Pour une distance horizontale x et une distance verticale y, on a:
x = v*cos(theta)*t
y = v*sin(theta)*t - 1/2*gt^2
où t est le temps depuis le "lancement" du jet de pisse, et g est l'acceleration causée par la gravité (el famoso 9.8 m/s^2)
J'ai demandé à une ia de me chier v depuis x et y (oui j'ai la flemme), ça nous donne
Un schéma de la situation:
On va prendre des nombres qui me semblent plausibles:
x = 25cm
y = 60cm
theta = 75deg
J'ai mis ces chiffres dans la formule, ça nous donne une vitesse de 3.7 m/s quand la pisse sort du gland pour que ça arrive sur le visage
On peut trouver la
pression dynamique
de la pisse juste avec ces chiffres La densité p de la pisse est quasi pareil que celle de l'eau (1000 kg/m^3), donc la pression dynamique est
P = 1/2 * pv^2
P = 6845 Pascals (c'est 0.067 la pression atmosphérique)
Maintenant on peut convertir cette pression en force
La formule est F = P * A
où A est l'aire de la section transversale
Il nous faut donc le diamètre de l'urètre (enfin, du trou du gland), j'ai trouvé un
papier de recherche
qui dit 6 à 8 mm pour un adulte, donc on va prendre 7mm On va supposer que le trou du pipou est circulaire, donc l'aire est
A = pi * d^2 / 4
A = 3.848 * 10^-5 m^2
et donc la force de la pisse au bout du gland est F = 0.263 N, intéressant
On peut répondre à la question, est-ce que c'est POSSIBLE de se pisser sur le visage en étant debout ?
Le débit normal de pisse d'un homme adulte est entre 10 ml/s et 21 ml/s
Avec l'aire du trou qu'on a déja calculé:
Débit Q en m^3/s = entre 1 * 10^-5 et 2.1 * 10^-5 m^3/s
v = Q/A, donc la vitesse normale de la pisse au bout du gland est entre 0.26 m/s et 0.55 m/s
C'est pour ça que c'est si dur, il nous faut une vitesse autour de 3.7 m/s mais en temps normal on a seulement autour de 0.4 m/s
il y a 2 mois
laPAZ
2 mois
Tu as éveillé ma curiosité l’op
C’est décidé je rejoins le projet d’étude dès demain à la prochaine douche
C’est décidé je rejoins le projet d’étude dès demain à la prochaine douche
Merci cher camarade, nous oeuvrons avant tout pour l'avancée scientifique, le développement de nouvelles technologies, etc
il y a 2 mois
Risitas3869
2 mois
Je viens d'essayer et l'op a raison, ça ne marche pas
Le jet de pisse arrive maximum jusqu'à mes pec mais pas plus haut
Le jet de pisse arrive maximum jusqu'à mes pec mais pas plus haut
Et oui, la condition gravitationnelle de la pisse est une réalité
il y a 2 mois
Ponceur2Vagin
2 mois
Très intéressant l'op j'aime beaucoup vos recherches qui ont sans nul doute pour but de faire avancer l'élite.
Pourrais-je faire don de mon assistance lors de vos prochains test et études sur le sujet ?
Comme par exemple en tenant verge en main ou encore en filmant la scène pour immortalisé qui sait peut être un moment historique de l'humanité.
Pourrais-je faire don de mon assistance lors de vos prochains test et études sur le sujet ?
Comme par exemple en tenant verge en main ou encore en filmant la scène pour immortalisé qui sait peut être un moment historique de l'humanité.
Absolument, je ferais une demande par courrier postale pour avoir un financement pour me permettre de vous acheter vos précieux services
il y a 2 mois
Absolument, je ferais une demande par courrier postale pour avoir un financement pour me permettre de vous acheter vos précieux services
Je le ferais gratuitement confrère, pour la science.
il y a 2 mois
Bon j'y ai réfléchi, il faut qu'un khey vérifie mes calculs, je suis fatigué
On va traiter le jet de pisse comme un projectile lancé à une vitesse v et un angle theta (par rapport à l'horizontal)
Pour une distance horizontale x et une distance verticale y, on a:
x = v*cos(theta)*t
y = v*sin(theta)*t - 1/2*gt^2
où t est le temps depuis le "lancement" du jet de pisse, et g est l'acceleration causée par la gravité (el famoso 9.8 m/s^2)
J'ai demandé à une ia de me chier v depuis x et y (oui j'ai la flemme), ça nous donne
Un schéma de la situation:
On va prendre des nombres qui me semblent plausibles:
x = 25cm
y = 60cm
theta = 75deg
J'ai mis ces chiffres dans la formule, ça nous donne une vitesse de 3.7 m/s quand la pisse sort du gland pour que ça arrive sur le visage
On peut trouver la
La densité p de la pisse est quasi pareil que celle de l'eau (1000 kg/m^3), donc la pression dynamique est
P = 1/2 * pv^2
P = 6845 Pascals (c'est 0.067 la pression atmosphérique)
Maintenant on peut convertir cette pression en force
La formule est F = P * A
où A est l'aire de la section transversale
Il nous faut donc le diamètre de l'urètre (enfin, du trou du gland), j'ai trouvé un
On va supposer que le trou du pipou est circulaire, donc l'aire est
A = pi * d^2 / 4
A = 3.848 * 10^-5 m^2
et donc la force de la pisse au bout du gland est F = 0.263 N, intéressant
On peut répondre à la question, est-ce que c'est POSSIBLE de se pisser sur le visage en étant debout ?
Avec l'aire du trou qu'on a déja calculé:
Débit Q en m^3/s = entre 1 * 10^-5 et 2.1 * 10^-5 m^3/s
v = Q/A, donc la vitesse normale de la pisse au bout du gland est entre 0.26 m/s et 0.55 m/s
C'est pour ça que c'est si dur, il nous faut une vitesse autour de 3.7 m/s mais en temps normal on a seulement autour de 0.4 m/s
On va traiter le jet de pisse comme un projectile lancé à une vitesse v et un angle theta (par rapport à l'horizontal)
Pour une distance horizontale x et une distance verticale y, on a:
x = v*cos(theta)*t
y = v*sin(theta)*t - 1/2*gt^2
où t est le temps depuis le "lancement" du jet de pisse, et g est l'acceleration causée par la gravité (el famoso 9.8 m/s^2)
J'ai demandé à une ia de me chier v depuis x et y (oui j'ai la flemme), ça nous donne
Un schéma de la situation:
On va prendre des nombres qui me semblent plausibles:
x = 25cm
y = 60cm
theta = 75deg
J'ai mis ces chiffres dans la formule, ça nous donne une vitesse de 3.7 m/s quand la pisse sort du gland pour que ça arrive sur le visage
On peut trouver la
pression dynamique
de la pisse juste avec ces chiffres La densité p de la pisse est quasi pareil que celle de l'eau (1000 kg/m^3), donc la pression dynamique est
P = 1/2 * pv^2
P = 6845 Pascals (c'est 0.067 la pression atmosphérique)
Maintenant on peut convertir cette pression en force
La formule est F = P * A
où A est l'aire de la section transversale
Il nous faut donc le diamètre de l'urètre (enfin, du trou du gland), j'ai trouvé un
papier de recherche
qui dit 6 à 8 mm pour un adulte, donc on va prendre 7mm On va supposer que le trou du pipou est circulaire, donc l'aire est
A = pi * d^2 / 4
A = 3.848 * 10^-5 m^2
et donc la force de la pisse au bout du gland est F = 0.263 N, intéressant
On peut répondre à la question, est-ce que c'est POSSIBLE de se pisser sur le visage en étant debout ?
Le débit normal de pisse d'un homme adulte est entre 10 ml/s et 21 ml/s
Avec l'aire du trou qu'on a déja calculé:
Débit Q en m^3/s = entre 1 * 10^-5 et 2.1 * 10^-5 m^3/s
v = Q/A, donc la vitesse normale de la pisse au bout du gland est entre 0.26 m/s et 0.55 m/s
C'est pour ça que c'est si dur, il nous faut une vitesse autour de 3.7 m/s mais en temps normal on a seulement autour de 0.4 m/s
Très bien cher confrère, venez vous asseoir dans mon boudoir, nous allons discuter de tout ceci en présence des gentlemens du topics
il y a 2 mois
Faut que tu essayes dans un ascenseur, quand il initie sa phase descendante.
Normalement l'accélération devrait suffisamment compenser la gravité pour te permettre de boire ta pisse debout.
Normalement l'accélération devrait suffisamment compenser la gravité pour te permettre de boire ta pisse debout.
NNN, premier régiment, matricule R1-06 : C'est que de l'amour putain !
il y a 2 mois
Donc en gros si tu fais pipi à l'horizontale puis à la verticale tu peux calculer la puissance gravitationnelle du lieu ou tu te situe ?
Maybe I just want to maybe...
il y a 2 mois
Très bien cher confrère, venez vous asseoir dans mon boudoir, nous allons discuter de tout ceci en présence des gentlemens du topics
il y a 2 mois
PatrickSebasti1
2 mois
Faut que tu essayes dans un ascenseur, quand il initie sa phase descendante.
Normalement l'accélération devrait suffisamment compenser la gravité pour te permettre de boire ta pisse debout.
Normalement l'accélération devrait suffisamment compenser la gravité pour te permettre de boire ta pisse debout.
Je note, ascenseur et phase descendante
il y a 2 mois
Lysaelia
2 mois
Donc en gros si tu fais pipi à l'horizontale puis à la verticale tu peux calculer la puissance gravitationnelle du lieu ou tu te situe ?
Cette question nous écarte de ma recherche initiale mais je serais honoré de participer à ces recherches également, je cosignerais le papier
il y a 2 mois
Lysaelia
2 mois
Donc en gros si tu fais pipi à l'horizontale puis à la verticale tu peux calculer la puissance gravitationnelle du lieu ou tu te situe ?
T'as besoin de faire pipi qu'une seule fois, mais tu dois mesurer:
- la distance horizontale
- la distance verticale
- l'angle de lancement
- la vitesse initiale du jet (au bout du gland)
ça permettrait d'isoler g
Mais oui une autre technique c'est de pisser deux fois avec un angle différent, et se concentrer pour avoir le même débit de pisse
- la distance horizontale
- la distance verticale
- l'angle de lancement
- la vitesse initiale du jet (au bout du gland)
ça permettrait d'isoler g
Mais oui une autre technique c'est de pisser deux fois avec un angle différent, et se concentrer pour avoir le même débit de pisse
il y a 2 mois
les gars du coup j'ai pas essayé la technique de presser son prépuce pour augmenter la vélocité du jet ça me parait dangereux genre tu pinces ton prépuce et ta pisse ne peut pas s'évacuer donc elle retourne dans ton uretre bref j'ai peur
il y a un mois






















