Sujet résolu
L'auteur a trouvé une solution à son problème.
Tous les footballeurs, acteurs, etc... il faut qu'ils se mettent TOUS avec une blanche. Systématiquement .


À part de rares personnalités qui ont de la fierté et de la dignité et qui vivent heureux entre eux comme Mohamed Ali par exemple...
Un Noir célèbre à 99% choisit toujours une blanche
Oui les femmes Noires sont moins attirante, mais le sont-elles pour les renoi aussi ?
Ou est-ce une mission secrète que tout nègre a : venger l'esclavage et la colonisation en foutant leur semence dans de la blanche et en metissant l'occident ?
Des kheys qui ont des éléments de reponses ?
C'est aussi de plus en plus le cas aussi et surtout pour des randoms..
Bordel même un migrant malien Mamadou choppe de la Blanche
https://vm.tiktok.com/ZMYCv5osn/
https://vm.tiktok.com/ZMYCvfD7Y/
https://vm.tiktok.com/ZMYCvtDob/

YouTube
Vidéo YouTube
YouTube
Vidéo YouTubeÀ part de rares personnalités qui ont de la fierté et de la dignité et qui vivent heureux entre eux comme Mohamed Ali par exemple...
Un Noir célèbre à 99% choisit toujours une blanche
Oui les femmes Noires sont moins attirante, mais le sont-elles pour les renoi aussi ?
Ou est-ce une mission secrète que tout nègre a : venger l'esclavage et la colonisation en foutant leur semence dans de la blanche et en metissant l'occident ?
Des kheys qui ont des éléments de reponses ?
C'est aussi de plus en plus le cas aussi et surtout pour des randoms..
Bordel même un migrant malien Mamadou choppe de la Blanche
ANTI CUCK GAUCHISTE BLANC
il y a 3 ans
Sponsorisé
Connectez-vous pour masquer les pubsPaquitos
3 ans
Tous les footballeurs, acteurs, etc... il faut qu'ils se mettent TOUS avec une blanche. Systématiquement .


À part de rares personnalités qui ont de la fierté et de la dignité et qui vivent heureux entre eux comme Mohamed Ali par exemple...
Un Noir célèbre à 99% choisit toujours une blanche
Oui les femmes Noires sont moins attirante, mais le sont-elles pour les renoi aussi ?
Ou est-ce une mission secrète que tout nègre a : venger l'esclavage et la colonisation en foutant leur semence dans de la blanche et en metissant l'occident ?
Des kheys qui ont des éléments de reponses ?
C'est aussi de plus en plus le cas aussi et surtout pour des randoms..
Bordel même un migrant malien Mamadou choppe de la Blanche
https://vm.tiktok.com/ZMYCv5osn/
https://vm.tiktok.com/ZMYCvfD7Y/
https://vm.tiktok.com/ZMYCvtDob/

YouTube
Vidéo YouTube
YouTube
Vidéo YouTubeÀ part de rares personnalités qui ont de la fierté et de la dignité et qui vivent heureux entre eux comme Mohamed Ali par exemple...
Un Noir célèbre à 99% choisit toujours une blanche
Oui les femmes Noires sont moins attirante, mais le sont-elles pour les renoi aussi ?
Ou est-ce une mission secrète que tout nègre a : venger l'esclavage et la colonisation en foutant leur semence dans de la blanche et en metissant l'occident ?
Des kheys qui ont des éléments de reponses ?
C'est aussi de plus en plus le cas aussi et surtout pour des randoms..
Bordel même un migrant malien Mamadou choppe de la Blanche
il y a 3 ans
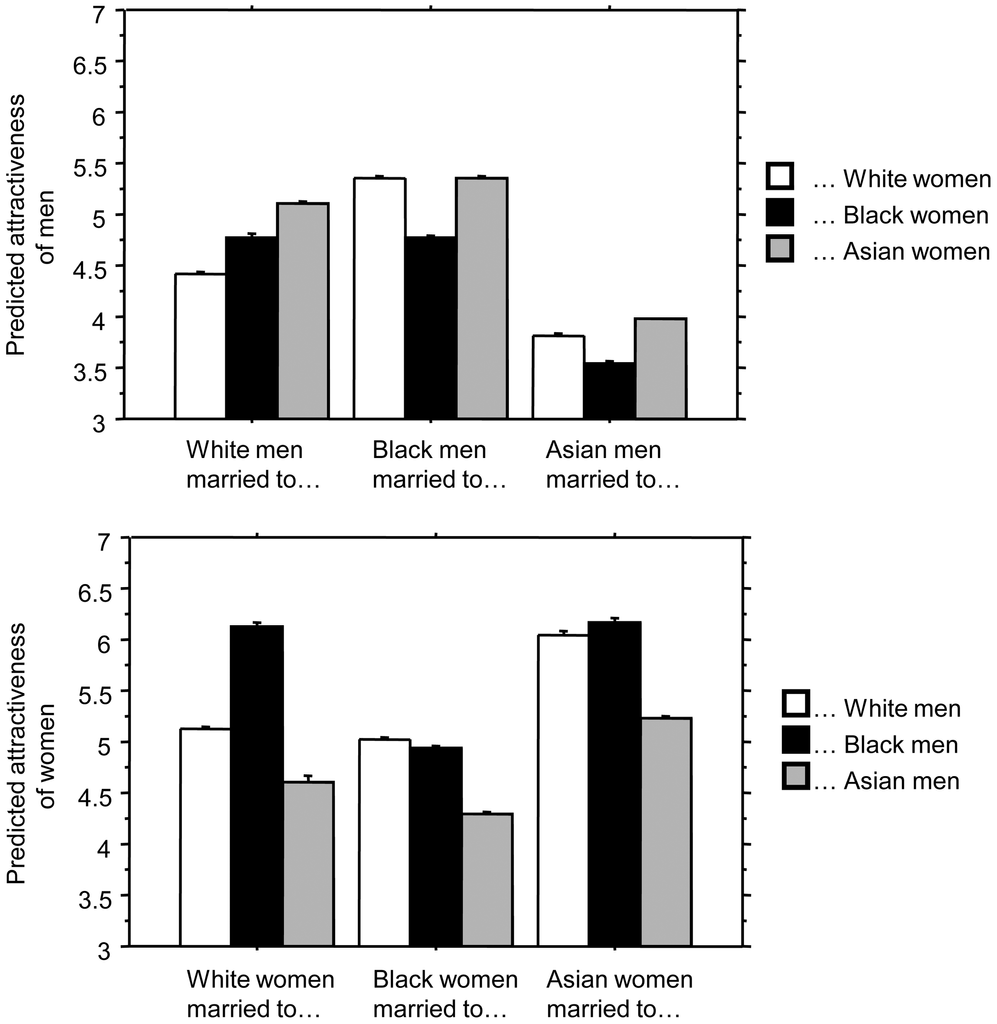
les noirs ayant grandis en France ou en occident ont vue depuis qu'ils sont gamins que des belles femmes blanches à la TV dans les fims, dans les séries, dans les animés, et comme ils étaient souvent entourées de blanches bah forcément ils ont une préférence pour les blanches.
il y a 3 ans
Parce que les femmes noires sont dégueulasses
Et c'est signé "Z" comme "Harry se lève" !
il y a 3 ans
Gabranth
3 ans
Par ce que les femmes noires sont degeulasse, meme pour eux
Au final le pire fardeau dans une vie c’est d’être une femme noire moche, c’est encore pire que d’être un Célestin blanc moche 

Toujours brisé les shills
il y a 3 ans
parce que la migration est essentiellement masculine il y a plus de femmes blanches et plus de femmes noires . De plus ce sont les blancs qui détiennent le pouvoir en france donc quand un noir réussi il va pas se mettre avec la pauvre des on ancienne cité mais la 10/10 rencontrée dans une boite de luxe où il y aura que des blanches car riche
il y a 3 ans
Ya que les fous en misère sexuelle qui sont proche de virer Trap qui peuvent accepter de se mettre avec une N
il y a 3 ans
Sponsorisé
Connectez-vous pour masquer les pubsWhiteDragon
3 ans
les noirs ayant grandis en France ou en occident ont vue depuis qu'ils sont gamins que des belles femmes blanches à la TV dans les fims, dans les séries, dans les animés, et comme ils étaient souvent entourées de blanches bah forcément ils ont une préférence pour les blanches.
Mouais...
ANTI CUCK GAUCHISTE BLANC
il y a 3 ans
Parcequ'ils pensent qu'en faisant ça leur descendance sera supérieur.
Évidemment c'est très rarement le cas, le métisse noir-blanc est un être fragile
Évidemment c'est très rarement le cas, le métisse noir-blanc est un être fragile

il y a 3 ans
si vous , en tant que blanc, vous aviez grandi en corée du sud ou au japon en voyant à la TV que des femmes Asiat, il est fort probable que vous ayez une préférence pour les femmes Asiat...
il y a 3 ans
Non parce qu'elles aussi baisent mais pas des riches
Le celestin n'attire n'attire personne
Le celestin n'attire n'attire personne
il y a 3 ans
Cody_Rhodes
3 ans
Parce que les femmes noires sont dégueulasses
Oui c'est vrai
Mais je pense pas qu'elles le sont aussi pour les hommes noirs
Ridicule ça serait. Et incompréhensible
Mais je pense pas qu'elles le sont aussi pour les hommes noirs
Ridicule ça serait. Et incompréhensible
ANTI CUCK GAUCHISTE BLANC
il y a 3 ans
BlancDeBlancs
3 ans
C’est bizarre parce qu’en général un métisse blanc/asiat sera un monstre dans tous les domaines alors que le métisse noir/blanc ou rebeu/blanc subira la sélection naturelle 

Toujours brisé les shills
il y a 3 ans
En ligne
248
Sur ce sujet0























