Ce sujet a été résolu
miko
1 mois
Bon samedi le G, quoi de prévu
il y a un mois
Glock
1 mois
Bon réveil Glock
Modo préféré du blabla. "Dieu aussi a fait confiance aux hommes. Nous avons au moins ça en commun: la déception."
il y a un mois
Je dois finir de réparer ma moto, elle est capricieuse ces derniers temps et toi ?
T'as une moto ? C'est sexy
Partie faire la sieste
il y a un mois
Je dois finir de réparer ma moto, elle est capricieuse ces derniers temps et toi ?
Bon courage avec ta moto
Pas grand chose de mon côté, je viens de prendre mon rendez-vous pour le coiffeur et je vais sûrement voir pour essayer de trouver un jeu intéressant.. Et boucler
Pas grand chose de mon côté, je viens de prendre mon rendez-vous pour le coiffeur et je vais sûrement voir pour essayer de trouver un jeu intéressant.. Et boucler
#CB99C9
il y a un mois
Voilà exactement ce que je voulais dire merci Yoneda
Et sinon, que penses-tu de ce pylône électrique ?

Vēritās līberābit vōs https://voca.ro/1lPKyDAtSOBB
il y a un mois
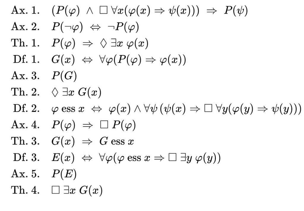
Toute preuve repose sur des axiomes
Vēritās līberābit vōs https://voca.ro/1lPKyDAtSOBB
il y a un mois
Non, la conclusion est que Dieu existe nécessairement (voir définition 3).
Vēritās līberābit vōs https://voca.ro/1lPKyDAtSOBB
il y a un mois
T'as une moto ? C'est sexy
Wayo merci, mais c'est une veille mémére donc faut souvent faire des trucs dessus, et je ne la lésigne pas
il y a un mois
Bon courage avec ta moto
Pas grand chose de mon côté, je viens de prendre mon rendez-vous pour le coiffeur et je vais sûrement voir pour essayer de trouver un jeu intéressant.. Et boucler
Pas grand chose de mon côté, je viens de prendre mon rendez-vous pour le coiffeur et je vais sûrement voir pour essayer de trouver un jeu intéressant.. Et boucler
il y a un mois
Je l'ai vu récemment celui-ci ! il est génial, il me fait penser à celui-ci >
Merci de partager mon engouement pyloneux, ça me fait plaisir
Merci de partager mon engouement pyloneux, ça me fait plaisir
il y a un mois
Hâte de voir le résultat ! moi aussi je dois lancer expédition 33 de mon coté
Je t'enverrais une photo, j'ai hâte aussi
#CB99C9
il y a un mois





























