Ce sujet a été résolu
Seulet
2 mois
Ca dépend combien t'es prêt à investir tous les mois dans des actifs qui rapportent des dividendes.
Si tu investis 1000€ tous les mois dans des actifs qui rapportent environ 5 à 7% de retour sur investissement, tu peux espérer avoir 500€/mois de rente dans 10 ans.
Si tu investis 1000€ tous les mois dans des actifs qui rapportent environ 5 à 7% de retour sur investissement, tu peux espérer avoir 500€/mois de rente dans 10 ans.
F.R.A.N.C.E.= Fédération des Réfugiés Arabes Nourris par les Caisses de l'État
il y a 2 mois
Seulet
2 mois
Je veux arrêter de travailler le plus vite possible
Ca me casse les couilles aussi, jpp
6%/an à long terme, c'est assez élevé à mesure que la rentabilité du capital s'affaiblit, mais bon faut bien partir sur des hypothèses. Ca fait 6k/an, donc 100k€.
6%/an à long terme, c'est assez élevé à mesure que la rentabilité du capital s'affaiblit, mais bon faut bien partir sur des hypothèses. Ca fait 6k/an, donc 100k€.
il y a 2 mois
environ 2500
Ne perds pas de temps à te demander combien de temps il te faudra. Commence à investir et fais tes armes
il y a 2 mois
rsa dream et tu l'as ta rente !!
Cela bordel
16 ans, pas de bac, pas de travail, pas de copine, pas de permi, pas de voiture, toujours puceau, ma vie est finie
il y a 2 mois
All in sur les obligations d'Etat de la zone euro c'est 100% sûr mon kheyou
il y a 2 mois
rsa dream et tu l'as ta rente !!
Exa c'est le plus intelligent à faire. 2-3ha, un ruisseau, une maison. Tu peux avoir tout ça pour ~25k€ voire beaucoup moins si t'es vraiment prolo. Ensuite tu montes une entreprise agricole pour pas que la CAF te casse les couilles, et à toi le véritable RSA dream.
il y a 2 mois
Seulet
2 mois
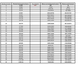
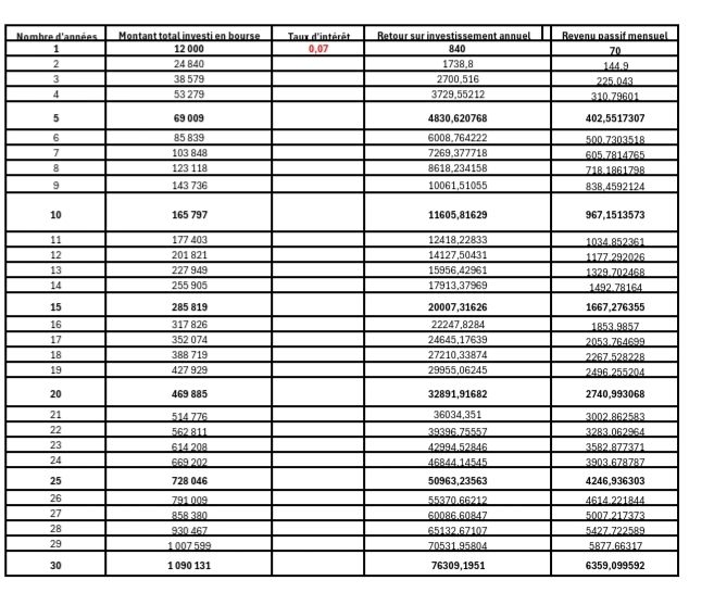
Si tu investis 1000€/mois (donc 12k/an) et que t'as en moyenne 7% de retour sur investissement par an. Et que chaque année tu réinvestis ton retour sur investissement, alors t'auras une rente de 400€/mois au bout de 5 ans, puis de 967€/mois au bout de 10 ans, puis de 1667€/mois au bout de 15 ans, et de 2700€/mois au bout de 20 ans.
Donc ça peut aller assez vite au final
F.R.A.N.C.E.= Fédération des Réfugiés Arabes Nourris par les Caisses de l'État
il y a 2 mois
En petant
Il a demandé combien, pas comment
Best of all, it's a Cadillac
il y a 2 mois
























